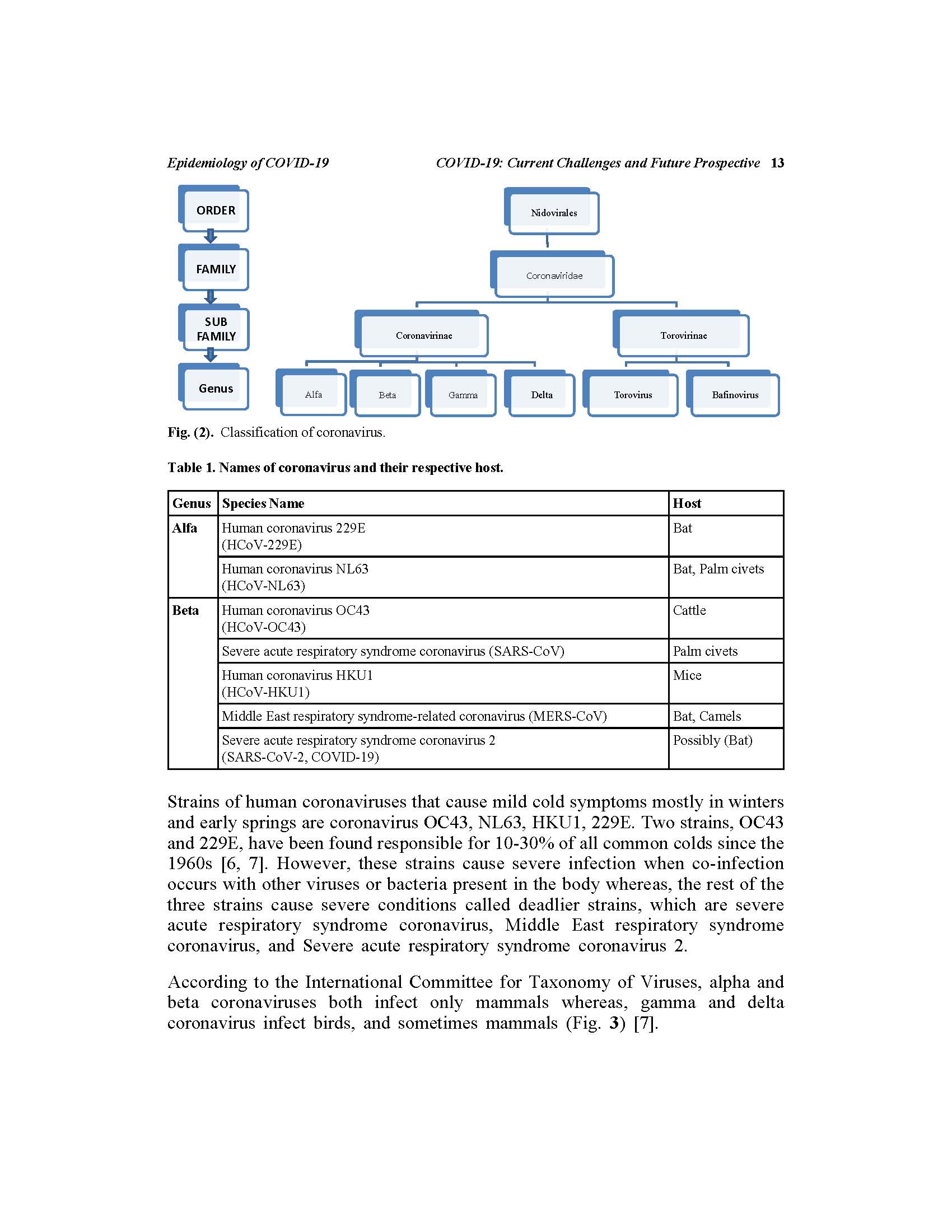
Note: This Book sample comprises of the Cover Page, Title Page, End User License Agreement, Foreword, Preface, Table of Contents, Editor's Biography and the first three pages of each chapter. These sample images are in low resolution to optimise the file size and are only to provide an overview about the scope of the Book and highlight the layout and presentation. These images are only for website preview and not for any other use.
<< First < Prev | 21 | Next > Last >>
21 of 68

<< First < Prev | 21 | Next > Last >>